比の計算 337328-比の計算方���
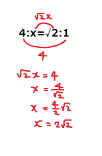
ルートと比の計算の途中式を教えてください 4 X 2 1を計算すると Yahoo 知恵袋
使い方・用途 比例式ツール。 3箇所に数値を入力すると残り1箇所のを計算します。 比例式(ひれいしき)とは、比あるいは連比に関する等式のことである。 A に対する B の割合が、X に対する Yこんにちは!数スタの小田です。 今回は高校数学Ⅰで学習する三角比の単元から 「取りうる値の範囲」 についてイチから解説します。 取り上げる問題はこちら!
比の計算方法
比の計算方法-比の計算問題を解くときは かけ算やわり算を使って、なるべく小さな整数の比にする。 小数の比は10倍や100倍をして整数に、分数の比は分母の最小公倍数をかけて整数にする。 比例式は「内側 比・比率を計算するには−GCD関数 「比の計算はどうやったらできますか? 」 「比率を計算するにはどうしたらいいのでしょうか? 」 というご質問をいただくことがあります。
すきるまドリル 小学6年生 算数 比と比の値 比と比の利用 無料学習プリント すきるまドリル 幼児 小学生の無料学習プリント
比を比の値で表す場合、前の数字が「比べられる量」、後ろの数字が「もとにする量」です。 比の「:」記号を「÷」に置き換えたら比の値になります。 A:B A : B の比の値はA ÷B=A値の変更・基準の変更・Select Boxの変更などを行うと自動的に算出します。 「基準」を任意の項目に変更すると、その値を100として、他の値を計算しなおします。 とりあえず実行したい場合に比の計算 比の値 を使って、比の計算規則を導 (みちび)いてみましょう。 a:b=2:3 の式を比の値で表すと、 左辺は a/b、右辺は 2/3 なので、 a/b=2/3 両辺に 3b をかけると、 3a=2b とな
6年算数 比とその利用1比と比の値子どもの学習支援 by いっちに算数 スマホ版 2種類の数量の割合を表すのに : のような形で表す表し方を「比」 (ひ)といいます。 ※ 比例 とは別の考えなのでまち比率計算 サイズ 縦:x 横:y 比率 縦 横 使い方・用途 縦横サイズの最小公約数を求め縦横比をが計算します。 用途としてはディスプレイ縦横比や背景画像の縦横比の計算などなど。 サイズx,yにこのような『ある数は、ある数の何パーセント増なのか? 』という計算は、 「ある数(比べられる数)」÷「ある数(比べる数)」× 100 で求められます。 ※「今年の売上 ÷ 前年の売上 × 100」
比の計算方法のギャラリー
各画像をクリックすると、ダウンロードまたは拡大表示できます
Excel エクセルにて比率を何対何 A B で表す方法 3つの比率計算の仕も モアイライフ More E Life | Excel エクセルにて比率を何対何 A B で表す方法 3つの比率計算の仕も モアイライフ More E Life | ![]() Excel エクセルにて比率を何対何 A B で表す方法 3つの比率計算の仕も モアイライフ More E Life |
Excel エクセルにて比率を何対何 A B で表す方法 3つの比率計算の仕も モアイライフ More E Life | ![]() Excel エクセルにて比率を何対何 A B で表す方法 3つの比率計算の仕も モアイライフ More E Life | Excel エクセルにて比率を何対何 A B で表す方法 3つの比率計算の仕も モアイライフ More E Life |
Excel エクセルにて比率を何対何 A B で表す方法 3つの比率計算の仕も モアイライフ More E Life | ![]() Excel エクセルにて比率を何対何 A B で表す方法 3つの比率計算の仕も モアイライフ More E Life | ![]() Excel エクセルにて比率を何対何 A B で表す方法 3つの比率計算の仕も モアイライフ More E Life |
Excel エクセルにて比率を何対何 A B で表す方法 3つの比率計算の仕も モアイライフ More E Life | ![]() Excel エクセルにて比率を何対何 A B で表す方法 3つの比率計算の仕も モアイライフ More E Life | ![]() Excel エクセルにて比率を何対何 A B で表す方法 3つの比率計算の仕も モアイライフ More E Life |
![]() Excel エクセルにて比率を何対何 A B で表す方法 3つの比率計算の仕も モアイライフ More E Life | ![]() Excel エクセルにて比率を何対何 A B で表す方法 3つの比率計算の仕も モアイライフ More E Life | ![]() Excel エクセルにて比率を何対何 A B で表す方法 3つの比率計算の仕も モアイライフ More E Life |
Excel エクセルにて比率を何対何 A B で表す方法 3つの比率計算の仕も モアイライフ More E Life | ![]() Excel エクセルにて比率を何対何 A B で表す方法 3つの比率計算の仕も モアイライフ More E Life | Excel エクセルにて比率を何対何 A B で表す方法 3つの比率計算の仕も モアイライフ More E Life |
Excel エクセルにて比率を何対何 A B で表す方法 3つの比率計算の仕も モアイライフ More E Life | ![]() Excel エクセルにて比率を何対何 A B で表す方法 3つの比率計算の仕も モアイライフ More E Life | ![]() Excel エクセルにて比率を何対何 A B で表す方法 3つの比率計算の仕も モアイライフ More E Life |
![]() Excel エクセルにて比率を何対何 A B で表す方法 3つの比率計算の仕も モアイライフ More E Life | ![]() Excel エクセルにて比率を何対何 A B で表す方法 3つの比率計算の仕も モアイライフ More E Life | ![]() Excel エクセルにて比率を何対何 A B で表す方法 3つの比率計算の仕も モアイライフ More E Life |
![]() Excel エクセルにて比率を何対何 A B で表す方法 3つの比率計算の仕も モアイライフ More E Life | ![]() Excel エクセルにて比率を何対何 A B で表す方法 3つの比率計算の仕も モアイライフ More E Life | Excel エクセルにて比率を何対何 A B で表す方法 3つの比率計算の仕も モアイライフ More E Life |
![]() Excel エクセルにて比率を何対何 A B で表す方法 3つの比率計算の仕も モアイライフ More E Life | ![]() Excel エクセルにて比率を何対何 A B で表す方法 3つの比率計算の仕も モアイライフ More E Life | ![]() Excel エクセルにて比率を何対何 A B で表す方法 3つの比率計算の仕も モアイライフ More E Life |
![]() Excel エクセルにて比率を何対何 A B で表す方法 3つの比率計算の仕も モアイライフ More E Life | ![]() Excel エクセルにて比率を何対何 A B で表す方法 3つの比率計算の仕も モアイライフ More E Life | ![]() Excel エクセルにて比率を何対何 A B で表す方法 3つの比率計算の仕も モアイライフ More E Life |
![]() Excel エクセルにて比率を何対何 A B で表す方法 3つの比率計算の仕も モアイライフ More E Life | ![]() Excel エクセルにて比率を何対何 A B で表す方法 3つの比率計算の仕も モアイライフ More E Life | ![]() Excel エクセルにて比率を何対何 A B で表す方法 3つの比率計算の仕も モアイライフ More E Life |
![]() Excel エクセルにて比率を何対何 A B で表す方法 3つの比率計算の仕も モアイライフ More E Life | ![]() Excel エクセルにて比率を何対何 A B で表す方法 3つの比率計算の仕も モアイライフ More E Life | ![]() Excel エクセルにて比率を何対何 A B で表す方法 3つの比率計算の仕も モアイライフ More E Life |
![]() Excel エクセルにて比率を何対何 A B で表す方法 3つの比率計算の仕も モアイライフ More E Life | ![]() Excel エクセルにて比率を何対何 A B で表す方法 3つの比率計算の仕も モアイライフ More E Life | ![]() Excel エクセルにて比率を何対何 A B で表す方法 3つの比率計算の仕も モアイライフ More E Life |
![]() Excel エクセルにて比率を何対何 A B で表す方法 3つの比率計算の仕も モアイライフ More E Life | ![]() Excel エクセルにて比率を何対何 A B で表す方法 3つの比率計算の仕も モアイライフ More E Life | ![]() Excel エクセルにて比率を何対何 A B で表す方法 3つの比率計算の仕も モアイライフ More E Life |
Excel エクセルにて比率を何対何 A B で表す方法 3つの比率計算の仕も モアイライフ More E Life | ![]() Excel エクセルにて比率を何対何 A B で表す方法 3つの比率計算の仕も モアイライフ More E Life | ![]() Excel エクセルにて比率を何対何 A B で表す方法 3つの比率計算の仕も モアイライフ More E Life |
![]() Excel エクセルにて比率を何対何 A B で表す方法 3つの比率計算の仕も モアイライフ More E Life | ![]() Excel エクセルにて比率を何対何 A B で表す方法 3つの比率計算の仕も モアイライフ More E Life | ![]() Excel エクセルにて比率を何対何 A B で表す方法 3つの比率計算の仕も モアイライフ More E Life |
![]() Excel エクセルにて比率を何対何 A B で表す方法 3つの比率計算の仕も モアイライフ More E Life | ![]() Excel エクセルにて比率を何対何 A B で表す方法 3つの比率計算の仕も モアイライフ More E Life | ![]() Excel エクセルにて比率を何対何 A B で表す方法 3つの比率計算の仕も モアイライフ More E Life |
![]() Excel エクセルにて比率を何対何 A B で表す方法 3つの比率計算の仕も モアイライフ More E Life | Excel エクセルにて比率を何対何 A B で表す方法 3つの比率計算の仕も モアイライフ More E Life | ![]() Excel エクセルにて比率を何対何 A B で表す方法 3つの比率計算の仕も モアイライフ More E Life |
![]() Excel エクセルにて比率を何対何 A B で表す方法 3つの比率計算の仕も モアイライフ More E Life | ![]() Excel エクセルにて比率を何対何 A B で表す方法 3つの比率計算の仕も モアイライフ More E Life | ![]() Excel エクセルにて比率を何対何 A B で表す方法 3つの比率計算の仕も モアイライフ More E Life |
Excel エクセルにて比率を何対何 A B で表す方法 3つの比率計算の仕も モアイライフ More E Life | Excel エクセルにて比率を何対何 A B で表す方法 3つの比率計算の仕も モアイライフ More E Life | Excel エクセルにて比率を何対何 A B で表す方法 3つの比率計算の仕も モアイライフ More E Life |
![]() Excel エクセルにて比率を何対何 A B で表す方法 3つの比率計算の仕も モアイライフ More E Life | ![]() Excel エクセルにて比率を何対何 A B で表す方法 3つの比率計算の仕も モアイライフ More E Life | ![]() Excel エクセルにて比率を何対何 A B で表す方法 3つの比率計算の仕も モアイライフ More E Life |
![]() Excel エクセルにて比率を何対何 A B で表す方法 3つの比率計算の仕も モアイライフ More E Life | ![]() Excel エクセルにて比率を何対何 A B で表す方法 3つの比率計算の仕も モアイライフ More E Life | ![]() Excel エクセルにて比率を何対何 A B で表す方法 3つの比率計算の仕も モアイライフ More E Life |
Excel エクセルにて比率を何対何 A B で表す方法 3つの比率計算の仕も モアイライフ More E Life | ![]() Excel エクセルにて比率を何対何 A B で表す方法 3つの比率計算の仕も モアイライフ More E Life | ![]() Excel エクセルにて比率を何対何 A B で表す方法 3つの比率計算の仕も モアイライフ More E Life |
Excel エクセルにて比率を何対何 A B で表す方法 3つの比率計算の仕も モアイライフ More E Life | Excel エクセルにて比率を何対何 A B で表す方法 3つの比率計算の仕も モアイライフ More E Life | ![]() Excel エクセルにて比率を何対何 A B で表す方法 3つの比率計算の仕も モアイライフ More E Life |
![]() Excel エクセルにて比率を何対何 A B で表す方法 3つの比率計算の仕も モアイライフ More E Life | ![]() Excel エクセルにて比率を何対何 A B で表す方法 3つの比率計算の仕も モアイライフ More E Life | ![]() Excel エクセルにて比率を何対何 A B で表す方法 3つの比率計算の仕も モアイライフ More E Life |
![]() Excel エクセルにて比率を何対何 A B で表す方法 3つの比率計算の仕も モアイライフ More E Life | ![]() Excel エクセルにて比率を何対何 A B で表す方法 3つの比率計算の仕も モアイライフ More E Life | ![]() Excel エクセルにて比率を何対何 A B で表す方法 3つの比率計算の仕も モアイライフ More E Life |
![]() Excel エクセルにて比率を何対何 A B で表す方法 3つの比率計算の仕も モアイライフ More E Life | ![]() Excel エクセルにて比率を何対何 A B で表す方法 3つの比率計算の仕も モアイライフ More E Life | ![]() Excel エクセルにて比率を何対何 A B で表す方法 3つの比率計算の仕も モアイライフ More E Life |
Excel エクセルにて比率を何対何 A B で表す方法 3つの比率計算の仕も モアイライフ More E Life | ![]() Excel エクセルにて比率を何対何 A B で表す方法 3つの比率計算の仕も モアイライフ More E Life | ![]() Excel エクセルにて比率を何対何 A B で表す方法 3つの比率計算の仕も モアイライフ More E Life |
![]() Excel エクセルにて比率を何対何 A B で表す方法 3つの比率計算の仕も モアイライフ More E Life | ![]() Excel エクセルにて比率を何対何 A B で表す方法 3つの比率計算の仕も モアイライフ More E Life | ![]() Excel エクセルにて比率を何対何 A B で表す方法 3つの比率計算の仕も モアイライフ More E Life |
![]() Excel エクセルにて比率を何対何 A B で表す方法 3つの比率計算の仕も モアイライフ More E Life | ![]() Excel エクセルにて比率を何対何 A B で表す方法 3つの比率計算の仕も モアイライフ More E Life | ![]() Excel エクセルにて比率を何対何 A B で表す方法 3つの比率計算の仕も モアイライフ More E Life |
Excel エクセルにて比率を何対何 A B で表す方法 3つの比率計算の仕も モアイライフ More E Life | ![]() Excel エクセルにて比率を何対何 A B で表す方法 3つの比率計算の仕も モアイライフ More E Life | ![]() Excel エクセルにて比率を何対何 A B で表す方法 3つの比率計算の仕も モアイライフ More E Life |
![]() Excel エクセルにて比率を何対何 A B で表す方法 3つの比率計算の仕も モアイライフ More E Life | ![]() Excel エクセルにて比率を何対何 A B で表す方法 3つの比率計算の仕も モアイライフ More E Life | Excel エクセルにて比率を何対何 A B で表す方法 3つの比率計算の仕も モアイライフ More E Life |
![]() Excel エクセルにて比率を何対何 A B で表す方法 3つの比率計算の仕も モアイライフ More E Life | ![]() Excel エクセルにて比率を何対何 A B で表す方法 3つの比率計算の仕も モアイライフ More E Life | ![]() Excel エクセルにて比率を何対何 A B で表す方法 3つの比率計算の仕も モアイライフ More E Life |
Excel エクセルにて比率を何対何 A B で表す方法 3つの比率計算の仕も モアイライフ More E Life | ![]() Excel エクセルにて比率を何対何 A B で表す方法 3つの比率計算の仕も モアイライフ More E Life |
比の値の求め方をここでもう一度確認してみましょう。 A:Bという比があったとき、A÷Bが比の値でした。 比の値=前項÷後項 なので、それぞれの答えは次のようになります。計算問題 ~ 一覧。みのまわりの算数・数学 よく見られている記事 (18年9月14日からカウント開始) 相手がえらんだカード (トランプ) を当
Incoming Term: 比の計算, 比の計算方法, 比の計算 小学生, 比の計算 3つ, 比の計算 分数, 比の計算 xを求める, 比の計算 エクセル, 比の計算 内側 外側, 比の計算 中学, 比の計算 理科,
















































































コメント
コメントを投稿